在本研究中,我们沿降雨时间梯度连续5年进行了田间试验,以研究巴丹吉林沙漠南缘灌木草本植物群落的相互作用,更具体地说,研究了优势灌木物种Calligonum mongolicum对非生物环境变量和树冠下植物物种表现的影响。我们发现灌木可以改善树冠下的水循环、土壤性质、植物生物量、密度、覆盖度和丰富度,更重要的是,灌木在夏季对树冠下土壤湿度的积极影响会随着降雨量的减少而减弱,这种模式可以部分解释灌木与其下层植物之间的积极相互作用的崩溃。这些结果提供了经验证据,即在极端干旱环境中,灌木对林下植物群落的积极作用可能会随着干旱胁迫的增加而减弱,并变得中性。
| 采集时间 | 2013/01/01 - 2015/12/31 |
|---|---|
| 采集地点 | 巴丹吉林沙漠南缘灌木草本植物群落 |
| 数据量 | 18.4 KiB |
| 坐标系 |
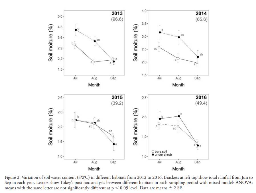
2013-2016年7月初,在一个永久性样地(100×200 m)中随机选取了25株大小相似的C. mongolicum灌木,并做了相应的标记。样地中的优势树种为Calligonum mongolicum,树冠下的所有树种(目标树种)均为一年生植物。每年9月,在每种选定灌木的冠层下建立一个1×1 m的四分点,并在灌木间隙建立一个露地四分点,每种选定灌木的露地四分点延伸5-8 m。然后测量每个四分区内地下植被的地上生物量、个体密度、总盖度和物种丰富度。2012年9月下旬,我们从永久样地中随机选取了19株灌木,在灌木下和灌木间隙建立的四分区(1×1 m)内测量了林下植被的个体密度、总盖度和物种丰富度。由于鼠害和虫害,2013年和2015年选取的6种和4种灌木样本在分析前被剔除。
采用最大似然估计法拟合的线性混合效应模型(LMM)来衡量生长季降雨量对灌木调节的非生物因素的影响。为了分析对SWC的影响,将每个生长季的降雨量、生境类型(灌木下或开阔地的四分区)和月份(调查土壤湿度时)作为固定项,配对灌木作为随机项。
采用广义线性混合效应模型(GLMM)来衡量生长季降雨和土壤水分对亚冠层植物群落的影响。为了分析降雨对灌木调节的林下植物的影响,将降雨和生境作为固定项,配对灌木作为随机项。
灌木除了影响旱地的土壤湿度外,还可影响其林下微生境中的其它非生物因素。我们的研究结果表明,在Calligonum mongolicum灌木下,蒸发、辐照度、土壤有机质和容重都会受到调节。它们在生产力低下的生态系统中具有促进作用,通常有利于它们周边植物,并有助于植物与植物之间的积极关系。
本作品采用
知识共享署名
4.0 国际许可协议进行许可。
| # | 标题 | 文件大小 |
|---|---|---|
| 1 | README_for_data.docx | 13.2 KiB |
| 2 | _ncdc_meta_.json | 6.2 KiB |
| 3 | data.rar | 5.2 KiB |
| # | 时间 | 姓名 | 用途 |
|---|---|---|---|
| 1 | 2025/12/07 13:40 | 匿名 [194.50.12.* ] |
[开放下载]
|
| 2 | 2025/12/06 06:20 | 匿名 [183.197.63.* ] |
[开放下载]
|
| 3 | 2025/12/05 23:37 | 匿名 [177.128.252.* ] |
[开放下载]
|
| 4 | 2025/12/04 23:18 | 匿名 [45.138.248.* ] |
[开放下载]
|
| 5 | 2025/12/04 07:15 | 匿名 [152.53.100.* ] |
[开放下载]
|
| 6 | 2025/12/03 14:29 | 匿名 [123.114.120.* ] |
[开放下载]
|
| 7 | 2025/12/03 13:02 | 匿名 [111.221.215.* ] |
[开放下载]
|
| 8 | 2025/12/02 02:28 | 匿名 [123.173.135.* ] |
[开放下载]
|
| 9 | 2025/12/01 02:30 | 匿名 [101.228.52.* ] |
[开放下载]
|
| 10 | 2025/11/30 03:45 | 匿名 [180.184.145.* ] |
[开放下载]
|
| # | 类别 | 标题 | 作者 | 年份 |
|---|---|---|---|---|
| 1 | 论文 | Extreme drought stress shifts net facilitation to neutral interactions between shrubs and sub‐canopy plants in an arid desert | Ge-fei,Zhang,Wenzhi,Zhao,Haibin,Zhou,Qiyue,Yang,Xiaofen,Wang | 2018 |
©2024 中国科学院西北生态环境资源研究院 备案号:陇ICP备2021001824号-34
兰州市东岗西路320号 730000 电话:0931-4967592, 0931-4967596