数据内容(数据文件/表名称,包含的观测指标内容) 该数据包含新疆策勒河地区、甘肃石羊河下游地区、甘肃黑河中游地区、内蒙古黑河下游地区、内蒙古西辽河上游地区荒漠化过程中水环境变化数据表若干个。
| 采集时间 | 2009/01/01 - 2013/08/31 |
|---|---|
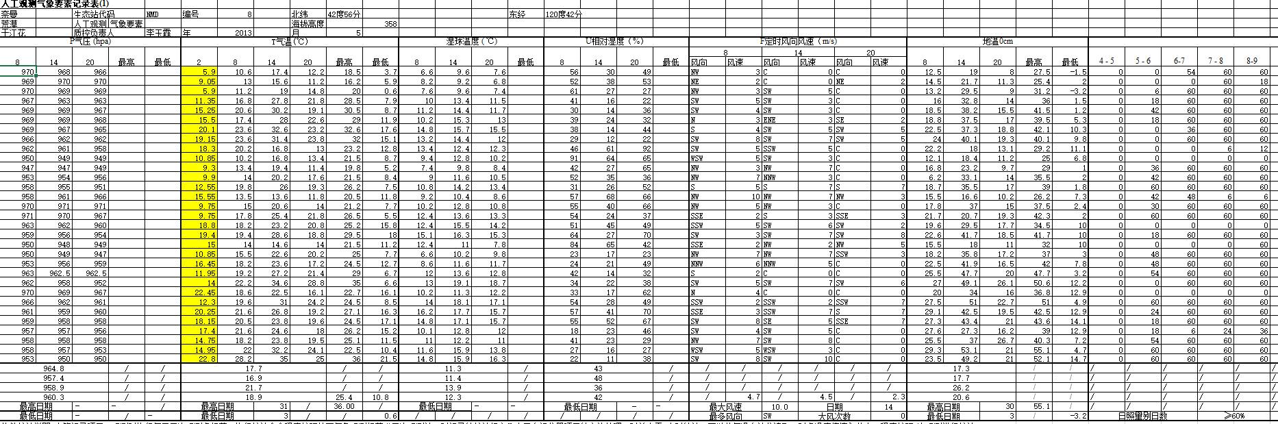
| 采集地点 | 内蒙古西辽河上游地区奈曼旗及其周边地区 |
| 数据量 | 4.7 MiB |
| 数据格式 | Excel |
| 数据时间分辨率 | 日 |
| 坐标系 | WGS84 |
干旱半干旱地区由于气候变化或人类活动引起的土地退化
采用excel和SPSS进行数据录入、加工和计算
1、原始资料数据精度 原始数据精度符合统一试验方案和中国生态系统研究网络编著的陆地生态系统水土气生观测规范要求 2、项目数据产生和汇集过程中的相关质量控制措施,包括完整的数据产生过程、使用的方法和标准规范、数据应用范围等内容。 按照中国生态系统研究网络编著的陆地生态系统水土气生观测规范进行相关质量控制 3、加工后数据精度 精度符合中国生态系统研究网络编著的陆地生态系统水土气生观测规范进行相关要求
| # | 编号 | 名称 | 类型 |
| 1 | 2009CB421303 | 荒漠化的水、土、气、生过程及其相互作用机理 | 国家重点基础研究发展规划(973计划) |
| 2 | 2009CB421300 | 干旱区绿洲化、荒漠化过程及其对人类活动、气候变化的响应与调控 | 国家重点基础研究发展规划(973计划) |
本作品采用
知识共享署名
4.0 国际许可协议进行许可。
| # | 标题 | 文件大小 |
|---|---|---|
| 1 | _ncdc_meta_.json | 4.6 KiB |
| 2 | 典型区沙漠化的小气候变化过程数据集(2009-2013).doc | 46.0 KiB |
| 3 | 典型区沙漠化的小气候变化过程数据集(2009-2013).zip | 4.7 MiB |
| # | 时间 | 姓名 | 用途 |
|---|---|---|---|
| 1 | 2025/10/20 19:17 | 胡*然 |
用于学术论文的撰写,课题组也一直和西北院有密切的合作。
|
| 2 | 2025/04/14 01:10 | 刘*祯 |
论文题目:“云端”绿意:互联网何以赋能生态治理?-行动者网络理论下的民勤治沙案例研究
数据在研究中的作用:
论文类型:哲学社会科学类
导师姓名:王文静、田立加
|
| 3 | 2025/02/21 01:43 | 刘* |
尊敬的国家冰川冻土沙漠科学数据中心以及数据提供者,您好。由于本项目开始于2025年,目前正在进行未来气候变化下流域水资源安全风险评估的数据搜集和整理工作,主要流域涉及黄河,渭河,石羊河,再次表示对该平台的感谢,谢谢
|
| 4 | 2024/11/22 06:47 | 吴*瑶 |
Paper title:Paper title:草原放牧策略研究
Paper abstract:过度放牧,往往因牲畜密度过大,可能导致草原植被结构破坏,土壤裸露面积增大,促进了土壤表面的蒸发,土体内水分相对运动受到不利影响,破坏了土壤积盐与脱盐平衡,增加了盐分在土壤表面的积累,土壤盐碱化程度加重。最终造成草场退化、土地沙漠化。
适度的放牧可以改善草原土壤质量、提高草原生物的多样性。我们建立模型研究合理的草原放牧策略,使土壤保持合适的状态,保证生态环境可持续发展。
数据在本研究中,将用于制定和调整我们沙漠化程度指数预测模型中的沙漠化程度指标。借助这些数据对模型进行训练后,我们会利用模型以及没有标签的数据来对不同放牧强度下监测点的沙漠化程度指数进行预测。
Paper type:本科学位论文
Tutor:宿洁 副教授
|
| 5 | 2024/09/05 19:37 | 成*雨 |
论文题目:基于大数据的荒漠化治理植物优选与验证
数据在研究中的作用:利用数据集来辅助论文的形成,训练模型计算验证论文结论,同时探索沙漠化荒漠化治理的多种方法
论文类型:本科毕业论文
导师姓名:孙媛
|
| 6 | 2024/03/22 03:11 | 姚*婧 |
学术交流与合作:
本次研究将以数据分析为基础,积极参与学术交流和合作,与国内外相关领域的研究机构和学者开展合作研究,促进学术交流和合作。
|
| 7 | 2024/01/30 23:29 | Z*H |
您好!我们正在进行美国大学生数学建模竞赛!需要您的数据借鉴!
|
| 8 | 2024/01/03 18:25 | 程*达 |
中国地质调查局项目申报(石羊河流域生态区生态保护修复地质调查)
|
| 9 | 2023/03/31 00:21 | 李*麟 |
围绕黑河中下游荒漠绿洲过渡带开展形成、演替模拟研究
|
| 10 | 2023/02/18 03:17 | 袁*上 |
我想研究在奈曼旗地区气候对植被的影响,恳请老师 的批注
|
©2024 中国科学院西北生态环境资源研究院 备案号:陇ICP备2021001824号-34
兰州市东岗西路320号 730000 电话:0931-4967592, 0931-4967596