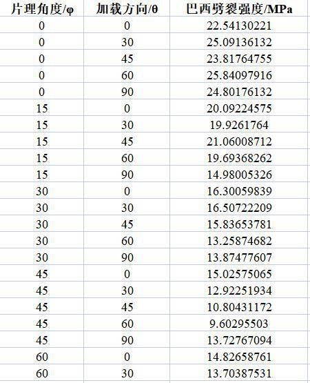
该数据集对含片理板岩开展巴西劈裂试验研究,综合考虑片理角度和加载方向两个影响因素,对片理面的三维结构效应进行深入研究。通过RMT岩石力学试验机测得了巴西劈裂强度、能量以及各向异性比等参数,研究成果可为横观各向同性岩石张拉力学特性分析提供参考和试验依据。
| 采集时间 | 2019/02/01 - 2019/02/28 |
|---|---|
| 采集地点 | 湖北武汉 |
| 数据量 | 26.0 KiB |
| 数据格式 | excel |
| 坐标系 |
数据来源于试验测量。
通过RMT岩石力学试验机测得了巴西劈裂强度、能量以及各向异性比等参数。
数据质量良好。
| # | 编号 | 名称 | 类型 |
| 1 | 2018YFC0809600 | 涉水重大基础设施安全保障技术研究与工程示范 | 国家重点研发计划 |
本作品采用
知识共享署名
4.0 国际许可协议进行许可。
| # | 标题 | 文件大小 |
|---|---|---|
| 1 | _ncdc_meta_.json | 3.7 KiB |
| 2 | 巴西劈裂强度和能量的计算结果.zip | 8.9 KiB |
| 3 | 数据集说明文件.docx | 17.1 KiB |
| # | 时间 | 姓名 | 用途 |
|---|---|---|---|
| 1 | 2025/07/15 05:42 | Wen*****hao |
论文题目:基于多保真数据驱动模型的岩石断裂韧性行为研究
数据在研究中的作用:构建多保真数据驱动模型需要大量数据 ,目前已有少量高精度数据,缺乏大量低精度数据
论文类型:期刊论文
导师姓名:郭龙骁
|
©2024 中国科学院西北生态环境资源研究院 备案号:陇ICP备2021001824号-34
兰州市东岗西路320号 730000 电话:0931-4967592, 0931-4967596